
시기능 훈련 후 외사시 환자의 보행 패턴의 변화
; Ryun-Young Kim1
; Byeong-Yeon Moon2
; Hyun Gug Cho2
; Dong-Sik Yu2
; Jae Hyeon Noh2
; Sang-Yeob Kim2, *
초록
외사시를 대상으로 시기능훈련 후 시기능과 보행 패턴의 변화에 대해 알아보고자 하였다.
외사시를 진단받은 21명을 대상으로 시기능훈련을 1주일에 2회, 각 회당 50분씩 3개월간 실시하여 훈련 전과 후의 시기능과 보행 패턴의 변화를 측정하였다. 시기능훈련은 억제 훈련, 융합버전스 훈련, 조절 훈련을 수행하였다. 시기능은 편위량, 양성융합버전스, 조절력, 입체시를 측정하였다. 보행 패턴 평가는 보행분석계(Optogait, Hospi, Italy)를 이용하여 총 5 m를 걷게 한 후 공간적 및 시간적 보행 패턴을 분석하였다.
3개월간의 시기능 훈련을 수행한 후, 편위량의 변화는 원거리의 경우 감소하였고(p=0.005), 근거리의 경우도 감소하였다(p<0.001). 양성융합버전스의 분리점 변화는 원거리 및 근거리 모두 증가하였다(p<0.001). 조절력 변화는 오른쪽 눈의 경우 증가하였고(p<0.001), 왼쪽 눈의 경우도 증가하였다(p=0.002). 평균 보폭 길이의 변화는 증가하였다(p=0.008). 시기능 변화와 보행 패턴 간에 상관분석 결과, 조절력이 증가할수록 보폭 길이도 뚜렷하게 증가하는 상관성을 보였다(OD: r=0.558, p=0.009, OS: r=0.507, p=0.019).
외사시 환자에게 적용한 시기능훈련은 조절력 향상을 기반으로 보폭 길이도 향상되어 보행 안정성을 증가시키는 효과를 가져올 수 있다.
Abstract
The aim of this study was to investigate the effects of vision therapy on visual function and gait patterns in individuals diagnosed with exotropia.
In total, 21 participants diagnosed with exotropia underwent a vision training program twice a week for 50 minutes per session over a period of three months. The vision therapy included suppression, fusional vergence, and accommodative amplitude. Visual function was assessed by measuring the angle of deviation, positive fusional vergence, accommodative amplitude, and stereopsis. Gait pattern analysis was conducted using a gait analysis system (Optogait, Hospi, Italy), where participants walked a 5-meter path. Spatial and temporal gait parameters were analyzed.
After the 3-month vision therapy, the angle of deviation significantly decreased at distance (p=0.005) and nearby (p<0.001). The break point of positive fusional vergence increased both at distance and nearby (p<0.001). Accommodative amplitude increased in the right (p<0.001) and left (p=0.002) eyes. Mean step length increased (p=0.008). Correlation analysis between changes in visual function and gait patterns showed that as accommodative amplitude increased, step length also significantly increased(OD: r=0.558, p=0.009; OS: r=0.507, p=0.019).
Vision therapy in patients with exotropia led to improvements in accommodative function, which in turn was associated with increased step length, suggesting enhanced gait stability.
Keywords:
Vision therapy, Exotropia, Gait pattern, Step length, Accommodation키워드:
시기능훈련, 외사시, 보행패턴, 보폭길이, 조절력서 론
사시는 양안 정렬의 편차로 정의되며, 그중에서 안구가 외측으로 편위되어 있는 상태를 통틀어 외사시라고 한다.[1] 사시가 있는 어린이는 양안시 발달 장애, 외관상 문제 등이 발생할 수 있으며, 편위되어 있는 사시안은 억제, 약시, 중심외주시, 이상망막대응 등으로 인한 지각 발달에 문제가 발생할 수 있다.[2] 또한 학습 및 교육 능력을 저하시키고 생리적, 심리적 성과를 저하시키기도 한다.[3,4] 특히 한 눈 억제는 입체시 소실로 이어져 정교한 거리감을 요구하는 작업이나 스포츠 활동에서 수행 능력을 저하시킬 수 있으며, 경우에 따라 간헐적인 복시나 시각적 혼란을 유발하여 피로감을 가중시키기도 한다. 서양인 중 백인은 내사시의 유병률이 더 높고 아시아 국가, 흑인에서는 외사시 비율이 높으며,[5] 국내의 여러 연구에서도 같은 경향을 보여주고 있다.[6,7,8]
외사시는 편위 정도가 클수록 입체 시력이 저하되는 것으로 나타났으며,[9,10,11,12] 수술 후 외사시의 경과를 지켜보는데 있어서 참고하는 예측 인자로서 가장 강력한 시각 요소이다.[13] 저하된 입체시는 동적인 환경에서의 거리 및 깊이 판단, 계단 보행 등 일상생활의 많은 부분에서 시각 정보 처리의 정확성과 신속성을 저하시킬 수 있다. 그러나 외사시 환자가 겪는 시각적 불편함과 기능 저하는 단순히 입체시 문제에 국한되지 않는다. 특히 정확하고 편안한 시각 정보 처리를 위해 필수적인 조절 기능과 융합 버전스 기능의 저하로 인한 문제도 중요하게 다루고 있다. 근거리 외사시의 경우, 조절 기능이 저하되었을 때 융합성 버전스에도 영향을 주어 증상이 더욱 심화될 수 있으며, 반대로 충분하다면 편위가 어느 정도 보상되어 정위로 보일 수 있음을 발견했다.[14] 이로 인한 시각적 불편함(안정피로, 간헐적 복시, 흐림 등)은 외사시 진단의 주요 근거가 되기도 한다.[15] 현대 사회에서 장시간의 학업, 사무 작업, 스마트 기기 사용 등 근거리 시각 활동이 증가함에 따라, 근거리 주시 시 요구되는 조절과 폭주의 원활한 협응 능력은 시각적 편안함을 유지하는 데 핵심적인 역할을 한다. 외사시에서 이러한 조절 및 폭주 기능의 불균형이나 저하는 지속적인 시각적 불편함뿐만 아니라 전반적인 작업 효율 저하를 유발할 수 있으며, 일상적인 활동 수행 능력에도 간접적인 영향을 미칠 가능성을 시사한다.
보행은 말초신경계와 중추신경계의 신호를 종합적으로 인지하여 추진력을 생성하여 앞으로 나아가는 운동을 말한다. 복잡한 환경 속에서 효과적인 보행을 위해서는 감각기능과 운동 기능의 성공적인 통합이 필요하다. 외사시 같은 양안시 이상은 이러한 통합 측면에서 개인의 보행에 심각한 어려움을 일으킬 수 있다.[16] 시각 시스템은 목표거리와 장애물 존재 여부뿐 아니라 보행 중 균형 유지에 필요한 정보를 제공하는데, 이러한 시각 정보의 유무는 시력이 없는 사람들이 발을 사용하여 지면을 촉각적으로 탐색하는 것과 같이 신중한 걷기 전략에 중요한 요소라고 볼 수 있다.[17] 또한 정지된 목표 지점에 발을 디딜 때조차 빠른 움직임 중에도 스윙 단계에서 시각 정보를 활용하여 발의 궤적을 정교하게 미세 조정할 수 있으며, 미세한 제어는 환경적 제약으로 발의 정확한 위치 선정이 요구될 때 매우 유용하다.[18] 이처럼 시각은 주변 환경에 대한 정보를 제공하여 보행 안정성을 조절하고 보행 경로 계획에도 도움을 준다. 정교한 시각 정보 처리가 요구되는 보행 과정에서, 외사시와 같은 양안시 이상은 환경 인지 및 반응 시간을 지연시켜 보행의 어려움을 야기할 수 있다. 또한 외사시 환자의 보행 능력은 보폭이 넓어지고 무릎 및 발목 관절의 힘이 감소하는 특징을 가지고 있으며, 이는 조심스러운 보행을 유발한다.[16]
선행 연구[19]에서 양안시에 문제가 있는 경우 신체 안정성이 저하된다고 보고되었고, 외사시보다 내사시가 있는 어린이의 신체 안정성이 좋은 것으로 나타났다. Bucci 등[20]은 융합버전스 문제가 있는 어린이는 정상 어린이보다 신체 안정성이 떨어진다고 보고했다. Fox [21]는 안구 근육의 고유수용기가 자세 안정성에 중요한 역할을 한다고 보고하였다. Legrand 등[22]은 사시 수술로 인해 외안근의 고유수용기를 변화시켜 자세 안정성을 향상시킬 수 있다고 보고하였다. 이러한 선행 연구들은 사시로 인한 안구 움직임의 비대칭성이나 변경된 고유수용성 감각 입력이 전신의 자세 제어 시스템에 영향을 미칠 수 있음을 의미하며, 이는 보행과 같이 보다 역동적인 움직임에서도 유사한 문제가 발생할 수 있음을 시사한다. 시기능훈련으로 사시 환자의 시기능을 향상 가능성에 대한 많은 선행 연구들이 있지만, 훈련을 통한 보행 패턴의 변화를 분석한 연구는 미흡한 실정이다.[23]
따라서 시기능훈련이 외사시 환자의 전통적인 시각 지표 개선을 넘어, 보행 안정성 및 효율성과 같은 전신 운동기능의 향상으로까지 이어질 수 있는지 규명하는 것은, 외사시 환자의 재활 목표를 확장하고 보다 통합적이며 기능적인 치료 접근법을 모색하는 데 매우 중요하다. 그럼에도 불구하고, 보행의 질적, 양적 지표 변화에 초점을 맞춘 연구는 아직 부족하여 임상 현장에서의 포괄적인 훈련 효과를 판단하는 데 한계가 있었다. 본 연구는 외사시 환자를 대상으로 특정 시기능훈련을 시행한 후, 훈련 전후의 양안시 기능 및 보행 패턴의 변화를 정량적으로 평가하고자 한다. 이를 통해 시기능훈련이 외사시 환자의 시각적 불편함 개선뿐 아니라 보행 능력 향상에도 실질적인 효과가 있는지 규명하고, 나아가 시기능 지표의 변화와 특정 보행 지표 변화 간의 연관성을 분석하여 향후 외사시 환자의 포괄적 재활 전략 수립에 기여하고자 한다.
대상 및 방법
1. 대상
본 연구는 모든 참여 대상자의 보호자에게 연구의 목적과 취지를 충분히 설명하고 서면 동의를 받은 후 진행되었으며, 연구 수행에 앞서 저자들의 소속기관 생명윤리위원회로부터 연구 승인을 받았다(KWNUIRB-2024-07-011-001). 연구 대상자는 독립적인 보행이 가능하고 신체적으로 건강한 외사시 소아로, 남성 12명(57.1%), 여성 9명(42.9%)이 포함되었으며, 평균 연령은 9.38±5.23세였다. 연구 시작 전 문진을 통해 근·골격계 질환, 최근 6개월 이내의 족부 통증, 수술 이력, 안질환 및 기타 전신질환 병력, 해당 질환과 관련된 약물 복용 여부를 확인하여 제외 기준에 해당되지 않는 경우에만 참여시켰다. 모든 대상자는 2024년 1월부터 2024년 4월까지 3개월간 인천 소재 시기능훈련센터에서 시기능훈련을 실시하였으며, 발달 지연 진단을 받은 적이 없고 언어적 의사소통을 통해 의사 표현이 가능한 아동으로 선정하였다.
2. 연구방법
2.1.1. 굴절 검사
포롭터(APH-550, Essilor, France)를 이용하여 난시축과 원주굴절력은 방사선시표 및 JCC(Jackson cross cylinder)법으로 난시를 교정하였으며, 양안조절균형 검사를 진행하여 조절 균형을 맞춘 후 최대 시력을 제공하는 제공하는 플러스 구면렌즈(maximum plus to maximum visual acuity; MPMVA)를 사용하여 대상자의 완전교정 값을 검출하였다.
2.1.2. 교대프리즘가림 검사
대상자의 편위량을 측정하기 위해서 프리즘바(B-15, Gulden Ophthalmics, USA)를 가지고 교대프리즘가림 검사를 실시하였다. 검사 시, 프리즘 기저 방향을 내방(base-in)으로 하여 5 m 및 40 cm 거리의 0.6 단일 시표를 주시하도록 하여 가림판으로 두 눈을 번갈아 가리면서 안구의 편위 방향이 나타나지 않은 프리즘 굴절력을 편위각으로 정하였다.
2.1.3. 양성융합버전스 검사
양성융합버전스는 외사시에서 편안한 양안 단일시를 유지하기 위한 능력 중 하나이며, 완전교정 값을 장입한 시험테를 착용한 후 5 m 및 40 cm 거리의 0.6 단일 시표를 주시하도록 하였다. 프리즘 바는 기저 외방(base-out)으로 눈 앞에 위치시킨 후 2초마다 한 스텝씩 증가시켜 최초로 흐려보이는 지점에서 보고하도록 지시하였고 이 지점을 흐린점, 다시 증가시켜 시표가 두 개로 분리된 지점을 분리점, 다시 감소시켜 시표가 하나가 되는 지점을 회복점으로 측정하였다.
2.1.4. 입체시 검사
입체시 검사는 40 cm거리에서 Titmus-fly stereotest(Stereo Optical Ca, INC, USA)를 편광안경을 착용하고 측정하였다. 이 검사는 40초각(seconds of arc)에서 800초각까지 9단계로 나눠진 Titmus circle로 초각을 평가할 수 있으며, 먼저 800초각부터 입체시 검사를 진행하여 연속적으로 2번 틀리는 경우, 바로 이전에 맞힌 초각을 입체시로 결정하였다.
2.1.5. 조절력 검사
조절 근점은 측정자인 옵토룰러(Research Assocoation of Vision and Optometry, Korea)를 이용하여 push-up 법으로 측정하였다. 굴절이상을 시험테를 장입한 후 조절력 측정 주시 타겟을 옵토룰러의 한쪽 끝에 부착시킨 다음, 서서히 피검자의 앞쪽으로 이동시키는 동안 최초 흐린 점에서 멈추는 것을 3회 반복 측정하여, 그 평균값을 조절력 값(디옵터)으로 환산 및 표기하였다.
보행분석계(Optogait, Hospi, Italy)를 사용하여 외사시 환자들의 보행 패턴의 변화를 측정하였다. Optogait 분석계는 각각 1 m의 송·수신 바와 웹캠으로 구성되며, 바에는 1 cm 간격으로 적외선을 통신할 수 있는 발광다이오드가 설치되어 있다. 송·수신 바 사이에서 보행하는 동안 수집된 정보를 통해 다양한 보행 패턴을 분석할 수 있다. 본 연구에서는 총 5 m를 걷게 한 후 아래와 같은 공간적 및 시간적 보행 패턴[24]을 분석하였다.
- (1) 보폭 길이(step length): 한발 뒤꿈치에서 반대쪽 발뒤꿈치까지의 간격을 측정한 것으로 단위는 cm로 표시한다.
- (2) 보폭 너비(step width): 발뒤꿈치의 가운데 부분에서 신발의 가장 긴 부분을 연결하여 그은 선의 1/3 지점을 표시한 후, 다음 보폭에 같은 지점을 연결하고, 이 선에서부터 반대 발의 같은 지점까지의 직각 거리를 말하며, 단위는 cm로 표시한다.
- (3) 보행 속도(speed): 보행한 거리를 소요된 시간으로 나눈 값을 말하며 단위는 m/s로 표시한다.
- (4) 분당걸음수(cadence): 보행한 거리의 보폭 수를 시간으로 나누어 표시하며 단위는 steps/meter로 표시한다.
본 연구에서 실시한 시기능훈련은 먼저 양안시 상태에서 억제가 있는 대상자는 억제 제거 훈련으로 Variable tranaglyph TM kit-500 series(BC500+, Bernell, USA), Anaglyphic TV trainer(E/TVT, Bernell, USA), Red-green bar reader(E/BR+ Bernell, USA), Anti-suppression charts (RGC+, Bernell, USA)를 이용하여 망막 중심부를 점차 개선한 후 양안으로 망막 주변부를 자극하는 방법을 사용하였다. 그다음 모든 대상자에게 양안시 상태에서 버전스 훈련으로 Vectograms(SOV2 and 6, Bernell, USA), Aperture rule(BC1050BK, Bernell, USA)를 이용하였다. 마지막으로 조절력 훈련으로는 Lens sorting, Hart chart rock을 이용하여 훈련하였다. 훈련 기간은 총 3개월 동안 주 2회, 각 회당 50분간 진행되었다.
IBM SPSS Statistics 29 통계 프로그램을 이용하여 각 항목의 변화를 분석하였다. 시기능훈련 전, 후의 시각적 요소의 변화, 보행 패턴의 변화와 경향을 분석하기 위해 반복측정 분산분석(repeated measure ANOVA)을 사용하였고, 대응표본 t 검정(paired t-test)으로 시기능훈련의 전, 후를 비교 분석하였다. 두 집단 간 수치 변화의 평균값을 비교할 때 사용하며, 얼마나 차이가 있는지를 비교하기 위해 Cohen’s d의 효과크기를 사용하였다. 효과크기에 대한 해석은 0.2 미만은 작은 효과 크기, 0.2~0.8은 중간 효과 크기, 0.8 이상은 큰 효과 크기, 1.2는 매우 큰 효과 크기를 의미한다.[25] 마지막으로 시각적 요소와 보행 패턴간에 상관분석(Pearson’s correlation coefficient)을 하였다. p-value가 0.05보다 작은 경우 통계학적으로 유의한 것으로 보았다.
결과 및 고찰
1. 시기능훈련 후 시기능의 변화
시기능훈련 전, 후 평가한 시기능 요소들은 Table 1과 같다. 먼저 편위량의 변화는 시기능훈련 전 원거리의 경우 25.48±3.11 △ 외편위였으나 시기능훈련 3개월 후 19.62±2.89 △ 외편위로 현저하게 감소하였고(p=0.005, t=–3.16, Cohen’s d=–0.69), 근거리의 경우 28.33±3.16 △ 외편위에서 18.24±2.32 △ 외편위로 유의하게 감소하였다(p<0.001, t=–5.74, Cohen’s d=–1.25). 편위량 평균 변화량은 원거리에서 –5.86 △(95% CI: –9.72 to –1.99), 근거리에서 –10.10 △(95% CI: –13.76 to –6.43)로 나타났다. 양성융합버전스의 분리점 변화는 시기능훈련 전 원거리의 경우 7.29±2.41 △, 3개월 후 19.57±3.57 △으로 유의하게 증가하였고(p<0.001, t=4.87, Cohen’s d=1.06), 근거리의 경우 13.19±2.37 △, 3개월 후 23.48±2.72 △으로 유의하게 증가하였다(p<0.001, t=4.62, Cohen’s d=1.01). 분리점 평균 변화량은 원거리에서 12.29 △(95% CI: 7.02 to 17.55), 근거리에서 10.29 △(95% CI: 5.64 to 14.93)로 나타났다. 조절력 변화는 시기능훈련 전 오른쪽 눈의 경우 13.75±1.26 D, 3개월 후 17.45±0.85 D로 크게 증가하였고(p<0.001, t=3.86, Cohen’s d=0.84), 왼쪽 눈의 경우 13.28±1.37 D, 3개월 후 17.18±0.99 D로 크게 증가하였다(p=0.002, t=3.57, Cohen’s d=0.87). 조절력의 평균 변화량은 오른쪽 눈은 3.70 D(95% CI: 1.70 to 5.70), 왼쪽 눈은 3.90 D(95% CI: 1.62 to 6.19)로 나타났다. 입체시 변화는 시기능훈련 전과 후의 차이가 통계적으로 유의하지 않았다. 시기능훈련의 효과 크기를 Cohen’s d 값으로 살펴보면, 통계적으로 유의하게 변화된 값 중에서 근거리 편위량이 –1.25로 매우 큰 효과로 나타났고, 양성융합버전스의 분리점은 원거리(1.06), 근거리(1.01) 모두 큰 효과의 상위 수준을 나타냈다. 오른쪽 조절력(0.84)은 큰 효과 수준으로 나타났고, 왼쪽 조절력(0.78), 원거리 편위량(0.69)은 중간 효과의 상위 수준을 나타낸다. 입체시(0.29)는 통계적으로 유의한 차이를 보이지 않았으며 cohen’s d 효과 크기도 작은 효과 수준으로 나타났다.
본 연구에서 시기능훈련 후 원거리 및 근거리 편위량이 통계적으로 유의하게 감소한 것을 볼 수 있지만, 시기능훈련의 주된 목적은 편위량 자체의 감소보다는 편위량을 조절할 수 있는 양성융합버전스 능력을 향상시키는데 있다. 선행 연구들에서는 훈련 후 편위량 변화가 0.3 △, 근거리 편위량은 3.7 △의 변화로 미미하거나 10 △ 이하의 변화로 임상적으로 큰 의미를 두지 않는 경우도 보고되었다[26,27]. 이러한 작은 변화는 긴장성 근접성 폭주[28] 또는 느린 폭주[29] 등에 의한 것으로 해석되기도 한다. 일부 연구에서 편위량 변화가 크지 않았던 것과는 달리, 본 연구에서는 원거리 및 근거리 편위량이 통계적으로 유의하게 감소하였다. 이는 Sanflippo와 Clahane[30]의 연구에서 대상자의 64%가 편위량의 유의한 개선을 보인 결과와 일치하며, 본 연구에서 나타난 편위량의 뚜렷한 감소는 시기능훈련이 외사시 환자의 편위각 자체에도 직접적인 개선 효과를 가져올 수 있음을 보여주는 중요한 결과이다.
외사시에서 시기능훈련의 성공 여부는 양성융합버전스의 분리점 크기 향상에 달렸다. 선행 연구들에서 결과들을 보면 편위량은 변화가 없었지만 양성융합버전스는 통계적으로 유의한 결과를 나타낸 것을 볼 수 있으며, 충분한 양성융합버전스가 외사시를 조절하는데 중요한 역할을 한다고 주장했다[31~33]. 조절력 훈련은 4주만 진행하더라도 약 3 D로 현저하게 향상되는 결과를 보였으며[34] 본 연구에서도 같은 변화를 보였다. 입체시는 외사시의 악화 정도를 파악하는 척도로 제안되었지만[35~37], 훈련 후 외사시의 양상이 감소한다고 해서 입체시가 향상된다고 보고한 연구는 드물며[38], 거의 대부분 연구에서 본 연구와 마찬가지로 입체시의 변화가 없는 것으로 나타났다[31]. 시기능훈련 후 대부분 시기능의 향상을 보이지만, 이러한 효과는 훈련 직후 측정된 값이며 장기적인 효과가 있는지에 대한 여부는 확실치 않다.
2. 시기능훈련 후 보행 패턴의 변화
시기능훈련 후 각 보행 패턴의 평균 변화는 Table 2와 같다. 먼저 보폭 길이의 변화는 47.99±1.57 cm에서 3개월 후 51.07±1.60 cm로 현저하게 증가하였다(p=0.008, t=2.97, Cohen’s d=0.65). 보폭 길이 변화량은 3.08 cm(95% CI: 0.92 to 5.24)로 나타났다. 보폭 너비, 보행 속도, 분당걸음수의 변화는 시기능훈련 전과 후의 차이가 통계적으로 유의하지 않았다. 시기능훈련의 효과 크기를 Cohen’s d 값으로 살펴보면, 통계적으로 유의하게 증가한 보폭 길이는 0.65로 큰 효과로 볼 수 있다. 다른 보행 요소들은 통계적으로 유의한 변화가 없었으며, 보행 속도(0.4)는 작은 효과의 상위 수준을 나타냈고, 분당걸음수(0.21)는 작은 효과 수준을, 보폭 너비(0.11)는 매우 작은 효과 수준으로 나타났다.
Thevenon 등의 연구에 따르면[39], 성장기 아동의 평균 보폭은 6세에 44.9 cm에서 12세에 62.6 cm로 증가하며, 이는 연평균 약 2.95 cm, 6개월 기준 약 1.48 cm의 증가에 해당한다. 이에 반해, 본 연구에서 시기능 훈련 전후 3개월 간 관찰된 보폭의 단기 증가폭(평균 3.08 cm)은 자연 성장이나 학습 효과만으로는 설명하기 어려운 수준으로, 시기능 훈련이 보행 발달에 유의미한 영향을 미쳤음을 시사한다. 이러한 결과는 성장기 외사시 환자의 보행 능력 향상에 대한 시기능 훈련 프로그램의 효과성을 뒷받침하는 근거로 해석될 수 있다. 아동기에는 시기능의 개선이 교실 및 학교 환경에서의 이동 안정성 향상, 체육활동 참여도 증가 등 일상생활의 기능적 이점으로 이어질 수 있다. 특히 본 연구에서 확인된 3개월간의 시기능 훈련 후 보폭 증가(평균 3.08 cm)는 단순한 성장이나 학습효과를 넘어, 신경가소성(neuroplasticity)에 기반한 시기능 중재의 효과가 단기간 내에도 나타날 수 있음을 시사한다[40]. 이는 학교 기반 건강중재 프로그램, 시각재활, 특수교육 대상 아동의 감각운동 통합 훈련 등 다양한 임상 및 교육 환경에서의 적용 가능성을 제시한다. 시기능은 보행 시 거리 판단과 균형 유지에 직결되는 중요한 감각 요소이며, 시기능 훈련을 통해 안정적인 시각 입력과 공간 지각 능력이 향상될 경우, 보다 안정적이고 자신감 있는 걸음으로 이어져 자연스럽게 보폭 증가가 유도될 수 있다. 특히 아동기는 감각-운동 통합 발달이 활발한 시기로, 시각 정보 처리의 개선이 즉각적인 운동 기능 향상으로 연결될 수 있는 민감기(sensitive period)에 해당한다[41]. 이러한 점에서 본 연구에서 나타난 보폭의 유의미한 증가는 시기능 훈련이 외사시 아동의 일상적 이동성과 삶의 질 향상에 기여할 수 있는 근거로 해석된다.
따라서 시기능훈련은 외사시안의 시기능 향상과 더불어 보행 안정성 향상에도 효과가 있는 가장 안전하고 효과적인 처치임을 확인하였고, 시기능훈련을 계획할 때는 시기능 개선뿐만 아니라 보행 안정성 향상도 이루어질 수 있도록 장기적인 시기능훈련 계획이 필요하다.
3. 시기능훈련 후 측정된 시기능요소와 보행 패턴의 상관성
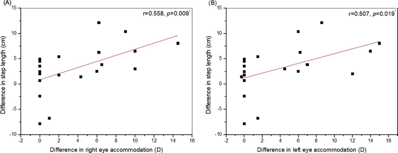
Fig. 1에서 Fig. 4는 3개월동안 시기능훈련을 수행하고 시기능 요소와 보행 요소의 변화된 정도 간의 상관관계를 분석한 결과이다. 조절력과 평균 보폭길이의 상관관계는 오른쪽 눈(Fig. 3A, r=0.558, p=0.009)과 왼쪽 눈(Fig. 3B, r=0.507, p=0.019) 모두 조절력이 증가할수록 보폭 길이도 증가하는 뚜렷한 상관성을 보였다. 나머지 시기능 요소와 보행 요소간의 상관성은 통계적으로 유의하지 않았다.
Correlation of difference in step length with difference in deviation after vision therapy at distance (A) and nearby (B).
Correlation of difference in step length with difference in positive fusional vergence after vision therapy at distance (A) and nearby (B).
Correlation of difference in step length with difference in right eye (A) and left eye (B) accommodation after vision therapy.*: p<0.05
Przekoracka 등[42]은 조절 훈련이 실제 환경 속에서 다양한 크기와 거리의 물체들을 인지하고 구별하는 능력을 발달시킬 수 있다고 하였다. 본 연구에서는 시기능 훈련 후 조절력의 유의미한 향상과 함께, 보행 시 보폭 증가가 동반되어 나타났으며, 두 변수 간의 상관성이 확인되었다. 이러한 결과는 조절 기능의 향상이 단순한 근거리 시력 개선을 넘어, 보행 시 공간 지각력 및 시각-운동 통합 능력 향상으로 이어질 수 있음을 시사한다. 조절력은 다양한 거리의 시각 자극에 대해 신속하고 정확하게 초점을 맞추는 능력으로, 보행 중 목표물이나 환경 변화에 대한 시선 전환 및 거리 판단에 필수적이다[43]. 특히 이동 중에는 가까운 바닥의 장애물과 멀리 있는 목표 지점 간의 시선 조절이 빈번하게 일어나며, 이때 조절 기능이 원활하지 않으면 시각 정보의 명료도가 저하되어 낙상 위험이나 비정상적 보행 전략이 유발될 수 있다. 조절력이 향상되면 이러한 시각적 불확실성이 줄어들고, 외부 환경에 대한 예측 가능성과 공간 인식의 정확도가 높아진다. 이는 보행 시 보다 자신감 있고 안정적인 움직임을 가능하게 하며, 결과적으로 보폭 증가라는 행동적 지표로 나타났을 가능성이 크다. 아동의 경우, 감각-운동 시스템이 발달하는 민감기에 해당하므로, 시기능 향상이 곧바로 운동 기능 개선으로 전이될 가능성이 높다. 따라서 조절력 향상과 보폭 증가 간의 상관성은, 시기능 훈련이 감각 계통뿐 아니라 운동 수행의 실질적 개선에도 영향을 미칠 수 있는 중재임을 뒷받침하는 중요한 근거가 될 수 있으며, 향후 다양한 시각 중재 프로그램의 효과성을 평가하는 데 있어 주요 지표로 활용될 수 있다. Kim 등[44]은 낮은 융합버전스는 자세 안정성에 부정적인 영향을 미치는 하나의 요인으로 보고한 바 있다. 시기능 훈련에서 융합버전스 훈련은 외사시 아동의 안구 협응과 정렬 능력을 안정화하는데 매우 중요한 과정이다. 본 연구에서 융합력과 보폭길이 변화량 간의 상관성은 나타나지 않았지만, 시기능훈련 전·후 통계적으로 유의하게 증가한 양성융합버전스량도 시각시스템 향상뿐만 아니라 보행 시 안정성에 간접적인 효과를 주었다고 판단된다.
요약하면, 외사시 아동의 정상적인 감각-운동 통합시스템을 정착시키기 위해서는 시기능 훈련뿐만 아니라 보행 훈련 수행이 필수적임을 강조하는 바이다. 추후 시기능 훈련 후 족관절 및 고관절 각도를 측정하여 세부적인 보행 패턴 변화를 분석하고, 훈련 전략을 제안하는 연구를 진행하고 한다.
결 론
본 연구는 외사시 환자를 대상으로 시기능훈련을 수행한 후 시각기능 향상 및 보행 패턴의 변화를 측정하여 보행 안정성에 미치는 영향을 조사하였다. 시기능훈련 후 편위량, 융합여력, 조절력의 향상되었고, 그에 따라 보폭 길이도 길어져 보행 안정성이 증가하였다. 보행 안정성을 향상시키는데 뚜렷한 상관성이 있었던 시기능 항목으로는 조절력의 향상으로 분석되었다. 결론적으로 시기능훈련은 외사시 환자의 시기능 향상과 더불어 보행 안정성 향상에도 효과가 있는 비수술적 처치임을 강조하고, 시기능훈련을 계획할 때는 시각기능 개선뿐만 아니라 보행 훈련과 연관 지어 프로그램을 계획하여야 한다. 시기능훈련은 다양한 연령층에서 보행 안정성을 향상시키기 위한 효과적인 대안이 될 수 있을 것으로 사료된다.
References
- Kwak MS, Kwon JY, Kim SY. A clinical study on exodeviation. J Korean Ophthalmol Soc. 1994;35(1):95-102.
-
Lee JE, Kim CZ, Nam KY, et al. An epidemiologic survey of strabismus and nystagmus in south korea: KNHANES V. J Korean Ophthalmol Soc. 2017;58(11):1260-1268.
[https://doi.org/10.3341/jkos.2017.58.11.1260]
-
Chia A, Dirani M, Chan YH, et al. Prevalence of amblyopia and strabismus in young Singaporean Chinese children. Invest Ophthalmol Vis Sci. 2010;51(7):3411-3417.
[https://doi.org/10.1167/iovs.09-4461]
-
Jackson S, Harrad RA, Morris M, et al. The psychosocial benefits of corrective surgery for adults with strabismus. Br J Ophthalmol. 2006;90(7):883-888.
[https://doi.org/10.1136/bjo.2005.089516]
-
Hashemi H, Pakzad R, Heydarian S, et al. Global and regional prevalence of strabismus: a comprehensive systematic review and meta-analysis. Strabismus. 2019;27(2):54-65.
[https://doi.org/10.1080/09273972.2019.1604773]
- Shin DM, Shim WS. A epidemiologic survey and clinical analysis of strabismus in children. J Korean Ophthalmol Soc. 1981;22(4):847-854.
- Ahn W, Kwon JY. The incidence of strabismus among school-children. J Korean Ophthalmol Soc. 1983;24(2):287-290.
- Rah SH, Jun HS, Kim SH. An epidemiologic survey of strabismus among school-children in Korea. J Korean Ophthalmol Soc. 1997;38(12):2195-2199.
-
Hatt SR, Haggerty H, Buck D, et al. Distance stereoacuity in intermittent exotropia. Br J Ophthalmol. 2007;91(2):219-221.
[https://doi.org/10.1136/bjo.2006.099465]
-
Yildirim C, Mutlu FM, Chen Y, et al. Assessment of central and peripheral fusion and near and distance stereoacuity in intermittent exotropic patients before and after strabismus surgery. Am J Ophthalmol. 1999;128(2):222-230.
[https://doi.org/10.1016/S0002-9394(99)00079-3]
-
Wu H, Sun J, Xia X, et al. Binocular status after surgery for constant and intermittent exotropia. Am J Ophthalmol. 2006;142(5):822-826.e2.
[https://doi.org/10.1016/j.ajo.2006.06.045]
-
Abroms AD, Mohney BG, Rush DP, et al. Timely surgery in intermittent and constant exotropia for superior sensory outcome. Am J Ophthalmol. 2001;131(1):111-116.
[https://doi.org/10.1016/S0002-9394(00)00623-1]
-
Koc F, Sefi-Yurdakul N. Predictors of stereoacuity outcome in visually mature subjects with exotropia. Eye. 2016;30(2):264-269.
[https://doi.org/10.1038/eye.2015.241]
- Rutstein RP, Daum KM. Exotropia associated with defective accommodation. J Am Optom Assoc. 1987;58(7):548-554.
-
Stark L, Ciuffreda KJ, Grisham JD, et al. Accommodative disfacility presenting as intermittent exotropia. Ophthalmic Physiol Opt. 1984;4(3):233-244.
[https://doi.org/10.1111/j.1475-1313.1984.tb00361.x]
-
Aprile I, Ferrarin M, Pauda L, et al. Walking strategies in subjects with congenital or early onset strabismus. Front Hum Neurosci. 2014;8:484.
[https://doi.org/10.3389/fnhum.2014.00484]
-
Hallemans A, Ortibus E, Meire F, et al. Low vision affects dynamic stability of gait. Gait Posture. 2010;32(4):547-551.
[https://doi.org/10.1016/j.gaitpost.2010.07.018]
-
Reynolds RF, Day BL. Visual guidance of the human foot during a step. J Physiol. 2005;569(2):677-684.
[https://doi.org/10.1113/jphysiol.2005.095869]
-
Zipori AB, Colpa L, Wong AMF, et al. Postural stability and visual impairment: assessing balance in children with strabismus and amblyopia. PLoS One. 2018;13(10):e0205857.
[https://doi.org/10.1371/journal.pone.0205857]
-
Bucci MP, Lê TT, Wiener-Vacher S, et al. Poor postural stability in children with vertigo and vergence abnormali-ties. Invest Ophthalmol Vis Sci. 2009;50(10):4678-4684.
[https://doi.org/10.1167/iovs.09-3537]
-
Fox CR. Some visual influences on human postural equi-librium: binocular versus monocular fixation. Percept Psychophys. 1990;47(5):409-422.
[https://doi.org/10.3758/bf03208174]
-
Legrand A, Quoc EB, Vacher SW, et al. Postural control in children with strabismus: effect of eye surgery. Neurosci Lett. 2011;501(2):96-101.
[https://doi.org/10.1016/j.neulet.2011.06.056]
-
Lee Y, Kim H. Six-month follow-up of binocular visual function after vision therapy in intermittent exotropia with three types. J Korean Ophthalmic Opt Soc. 2020;25(1):89-97.
[https://doi.org/10.14479/jkoos.2020.25.1.89]
- Lee JL, Cho SH, Kwon OY, et al. The relevance between gross motor function measurement (GMFM) and the spatiotemporal parameters of gait in children with cerebral palsy. Phys Ther Korea. 2001;8(1):20-34.
-
Lee DK. Alternatives to P value: confidence interval and effect size. Korean J Anesthesiol. 2016;69(6):555-562.
[https://doi.org/10.4097/kjae.2016.69.6.555]
-
MA MML, Kang Y, Chen C, et al. Vision therapy for intermittent exotropia: a case series. J Optom. 2021;14(3):247-253.
[https://doi.org/10.1016/j.optom.2020.05.006]
-
Holmes JM, Leske DA, Hohberger GG. Defining real change in prism-cover test measurements. Am J Ophthal-mol. 2008;145(2):381-385.
[https://doi.org/10.1016/j.ajo.2007.09.012]
-
Kushner BJ. Exotropic deviations: a functional classification and approach to treatment. Am Orthopt J. 1988;38(1):81-93.
[https://doi.org/10.1080/0065955X.1988.11981775]
-
Schor CM. The influence of rapid prism adaptation upon fixation disparity. Vision Res. 1979;19(7):757-765.
[https://doi.org/10.1016/0042-6989(79)90151-2]
-
Heydarian S, Hashemi H, Jafarzadehpour E, et al. Nonsurgi-cal Management Options of Intermittent Exotropia: A Litera-ture Review. J Curr Ophthalmol. 2020;32(3):217-225.
[https://doi.org/10.4103/JOCO.JOCO_81_20]
-
MA MML, Kang Y, Scheiman M, et al. Office-based vergence and accommodative therapy for the treatment of intermittent exotropia: a pilot study. Optom Vis Sci. 2019;96(12):925-933.
[https://doi.org/10.1097/OPX.0000000000001454]
-
Hatt SR, Leske DA, Mohney BG, et al. Fusional conver-gence in childhood intermittent exotropia. Am J Ophthal-mol. 2011;152(2):314-319.
[https://doi.org/10.1016/j.ajo.2011.01.042]
-
Wakayama A, Seki Y, Takahashi R, et al. Role of fusional convergence amplitude in postoperative phoria maintenance in children with intermittent exotropia. Jpn J Ophthalmol. 2018;62(3):307-314.
[https://doi.org/10.1007/s10384-018-0585-6]
-
Manna P, Karmakar S, Mondal A, et al. Effects of two vision therapy approaches on accommodative insuffi-ciency and post-therapy stability. J Pediatr Ophthalmol Strabismus. 2025;62(1):12-26.
[https://doi.org/10.3928/01913913-20240807-01]
-
Hatt SR, Mohney BG, Leske DA, et al. Variability of stereoacuity in intermittent exotropia. Am J Ophthalmol. 2008;145(3):556-561.e1.
[https://doi.org/10.1016/j.ajo.2007.10.028]
-
Holmes JM, Birch EE, Leske DA, et al. New tests of distance stereoacuity and their role in evaluating intermittent exotropia. Ophthalmology. 2007;114(6):1215-1220.
[https://doi.org/10.1016/j.ophtha.2006.06.066]
-
Stathacopoulos RA, Rosenbaum AL, Zanoni D, et al. Dis-tance stereoacuity: assessing control in intermittent exotropia. Ophthalmology. 1993;100(4):495-500.
[https://doi.org/10.1016/S0161-6420(93)31616-7]
-
Pejic Z, Wong W, Husain R, et al. Fusion exercises for treatment of intermittent exotropia and phoria. Am Orthopt J. 2006;56(1):138-146.
[https://doi.org/10.3368/aoj.56.1.138]
-
Thevenon A, Gabrielli F, Lepvrier J, et al. Collection of normative data for spatial and temporal gait parameters in a sample of French children aged between 6 and 12. Ann Phys Rehabil Med. 2015;58(3):139-144.
[https://doi.org/10.1016/j.rehab.2015.04.001]
-
Tymofiyeva O, Gaschler R. Training-induced neural plasticity in youth: a systematic review of structural and func-tional MRI studies. Front Hum Neurosci. 2021;14:497245.
[https://doi.org/10.3389/fnhum.2020.497245]
-
Zeanah CH, Gunnar MR, McCall RB, et al. VI. sensitive periods. Monogr Soc Res Child Dev. 2011;76(4):147-162.
[https://doi.org/10.1111/j.1540-5834.2011.00631.x]
-
Przekoracka-Krawczyk A, Nawrot P, Czaińska M, et al. Impaired body balance control in adults with strabismus. Vision Res. 2014;98:35-45.
[https://doi.org/10.1016/j.visres.2014.03.008]
-
Smith G, Meehan JW, Day RH. The effect of accommodation on retinal image size. Hum Factors. 1992;34(3):289-301.
[https://doi.org/10.1177/001872089203400304]
-
Kim SY, Cho HG, Moon BY, et al. Fusional single vision with prism-induced vergence has more influence than diplopia on postural stability. Optom Vis Sci. 2020;97(3):218-226.
[https://doi.org/10.1097/OPX.0000000000001483]

