
예비검사로서 OQAS의 효용성 검증
; Dong-Sik Yu2
; Byeong-Yeon Moon2
; Sang-Yeob Kim2
; Jae-Hyeon Noh2
; Hyun Gug Cho2, *
초록
Optical quality analysis system(OQAS)의 광학품질 지표인 modulation transfer function(MTF)과 Strehl ratio가 굴절이상도와 시력을 예측하는 데 유용한 지표인지 평가하고, 예비검사에서의 활용 가능성을 검증하고자 하였다.
2022년 1월부터 2024년 12월까지 국내 안경원에서 굴절검사 및 안경을 처방받은 –0.50 D 이상의 굴절이상을 가진 320명(639안)의 자료를 대상으로 후향적 연구를 진행하였다. 광학품질 지표는 수차분석기로 측정하였으며, 굴절검사에서 측정된 소수시력은 visual acuity rating(VAR)으로 환산하여 분석하였다. MTF와 Strehl ratio가 굴절이상도와 시력과의 상관성을 분석하였고, 자동굴절검사와 자각적굴절검사 간의 굴절이상도 일치도에 따라 고일치군과 저일치군으로 나누어 평균을 비교하였다.
MTF와 Strehl ratio는 굴절이상도와 나안시력을 예측하는데 유의미한 지표로 나타났으나, 교정시력과는 낮은 상관성을 보였다. MTF와 Strehl ratio가 낮은 경우 자각적굴절검사에 비해 자동굴절검사에서 굴절이상도가 더 크게 측정될 가능성이 있는 것으로 나타났다.
OQAS는 예비검사에서 굴절이상도와 나안시력을 예측하는데 유용한 도구로 활용될 수 있으며, 자동굴절검사에서 측정된 굴절이상도가 실제보다 높게 측정되었는지 판단하는데 중요한 참고 지표가 될 수 있다. MTF와 Strehl ratio가 낮게 측정된 경우 자동굴절검사 결과에 기초한 굴절이상 처방은 주의가 필요할 것이다.
Abstract
The study aim was to evaluate whether two optical quality metrics, the modulation transfer function (MTF) and Strehl ratio, from the optical quality analysis system (OQAS) are appropriate indicators for predicting refractive error and visual acuity. The clinical usefulness of these two metrics in preliminary eye examinations was also examined.
A retrospective study was conducted on 320 patients (639 eyes) with a refractive error of –0.50 D or more, who underwent refraction and received eyeglass prescription at a domestic optometry clinic between January 2022 and December 2024. The optical quality metrics were recorded using an aberrometer. Visual acuity during refraction was determined in decimal units and converted to the visual acuity rating (VAR) for analysis. The correlations of the MTF and Strehl ratio with refractive error and visual acuity were analyzed; their means were compared between the strong- and weak-correlation groups based on the agreement between the autorefraction and subjective refraction results.
The MTF and Strehl ratio were strong predictors of refractive error and naked visual acuity but weakly correlated with the best-corrected visual acuity. The refractive error values measured using the OQAS were higher than the subjective refraction values for eyes with lower MTF and Strehl ratio.
The OQAS is a useful tool for predicting refractive error and naked visual acuity in preliminary examinations, and it can be a valuable reference for assessing whether autorefraction results are overestimated. Caution is recommended when using autorefraction-based prescription for refractive correction when the MTF and Strehl ratio are low.
Keywords:
OQAS, Preliminary test, MTF, Strehl ratio, Optical quality parameters키워드:
예비검사, 광학품질 지표서 론
시력 품질을 객관적으로 평가하기 위해 사용되는 OQAS (optical quality analysis system)는 백내장 수술 및 굴절교정술 등 안과적 시술 후에 주로 사용되며,[1-3] 망막에 도달한 빛의 퍼짐을 측정함으로써 고위수차, 대비감도 등을 객관적으로 측정하고 병리를 진단하는데 사용된다.[4]
OQAS는 MTF(modulation transfer function)와 Strehl ratio와 같은 정량적 지표를 통해 광학적 시력 품질을 평가한다. MTF는 광학 시스템이 다양한 공간 주파수에서 대비도 전달을 나타내는 함수로써, 물체의 원래 대비가 망막 상에 얼마나 정확하게 재현되는지를 평가하는 지표이다.[5] MTF는 이중 통과(double-pass) 방식을 통해 측정된 PSF(point spread function)를 기반으로 계산되며, 고위수차 및 빛의 산란으로 인한 영향을 포함하는 것이 특징이다.[6] 일반적으로 MTF는 cpd(cycles per degree) 단위로 표현되며, 높은 MTF 값은 더 나은 광학적 품질을 의미한다.[7]
Strehl ratio는 실제 광학 시스템의 PSF의 중심 최대 강도와 수차가 존재하지 않는다고 가정한 광학 시스템에서 PSF 중심 최대 강도의 비율로 정의된다.[8] 이 값은 0에서 1 사이의 범위를 가지며, 1에 가까울수록 우수한 광학 성능을 나타낸다. 일반적으로 Strehl ratio가 0.8 이상이면 광학 시스템이 회절 한계(diffraction limit)에 근접한 것으로 간주된다.[9] Strehl ratio는 광학 시스템의 파면 수차와 밀접한 관련이 있으며, 눈 광학계의 수차가 적을수록 더 높은 값을 갖게 된다.[10]
이와 같이 OQAS는 MTF와 Strehl ratio를 통해 기존의 굴절검사로는 파악하기 어려운 고위수차, 산란, 대비감도 저하 등의 요소를 보다 정밀하게 분석할 수 있으므로 예비검사 단계에서 시각 질을 평가하고 예측하는데 유용한 도구로 활용될 수 있다고 판단된다.
본 연구는 자동굴절검사 장비에 OQAS 기능을 통합한 최근의 기술이 예비검사 단계에서 광학적 평가를 보다 정밀하게 수행할 수 있는 가능성을 제시하고 있는 바, OQAS가 안과적 시술 후 시력 품질 평가를 넘어 굴절검사를 위한 예비검사에서 유효하게 활용될 수 있는지를 검증하고자 하였다. 이를 통해 굴절이상이 있는 환자의 시각적 불편을 보다 정확히 평가하고, 최적의 굴절이상 교정 계획을 수립하는 데 도움을 주고자 하였다.
대상 및 방법
1. 대상
본 연구는 2022년 1월부터 2024년 12월까지 국내 안경원에서 굴절검사를 거쳐 굴절이상 완전교정 안경 처방을 받은 대상자들의 기록을 분석한 후향적 연구이다. 분석자료는 굴절검사 결과 –0.50 D 이상의 근시로 선별하였으며, 기록된 문진을 통해 각막굴절교정술 이력이 없고 안과적 질환이나 약시가 없으며, 약물을 복용하지 않은 경우로 하였다. 조건에 부합하는 자료는 320명 639안으로, 평균 연령은 33.34±13.83세였으며, 자각적굴절검사로 측정된 굴절이상도는 평균 –3.71±2.41 D였다 (Table1). 검사 결과 중 수차분석기에서 측정된 굴절이상도와 자각적굴절검사로 측정된 굴절이상도를 비교하여 그 차이가 0.50 D 이하인 굴절이상 고일치군(224명, 447안)과 0.50 D를 초과하는 굴절이상 저일치군(96명, 192안)으로 분류하였다.
2. 측정 방법
MTF, Strehl ratio 및 굴절이상도는 수차분석기(VX110, Visionix Luneau, France)로 나안상태에서 측정하였으며(Fig. 1), 나안상태에서 MTF, Strehl ratio와 저위수차, 그리고 교정 후의 예상 MTF와 Strehl ratio를 검출하였다(Fig. 2, 3).
자각적굴절검사는 포롭터(Phoropter 11625B, Reichert, USA)와 5 m용 LCD 차트(PO-1001P, POLAOPTO Inc, Korea)를 이용하여 운무상태에서 방사선시표검사와 교차원주렌즈검사 후 최대구면최대시력검사로 단안끝점을 결정하였다. 자각적굴절검사 결과는 수차분석기로 측정된 굴절이상도와 비교하였다.
모든 시력 측정은 소수시력(decimal visual acuity)으로 기록하였으며, 세부적인 변별력을 평가하기 위해 소수시력을 LogMAR 시력으로 변환한 뒤, 해당 값을 이용해 VAR(visual acuity rating) 점수로 환산하였다. VAR는 시력을 보다 정밀하게 평가하기 위해 사용되는 지표로써, 각 변환에 사용된 공식은 다음과 같다.[11,12]
LogMAR = − log (Decimal VA)
VAR = 100 – 50 × LogMAR
시표의 모든 숫자를 정확히 읽지 못한 경우에는 해당 시력과 한 단계 아랫줄 시력, 두 VAR의 평균값으로 점수를 부여함으로써 변별력을 높였다. 예를 들어, 1.0 시표에서 5개의 숫자를 모두 읽지 못하고 3~4개만 읽은 경우, 1.0과 0.9 시력의 VAR 값 평균을 적용하였다. 이러한 점수 부여 방식은 letter-by-letter scoring 기법과 유사하며, 줄 단위 평가(line assignment) 방식에 비해 시력 측정의 반복성과 정밀도를 향상시키는 것으로 입증된 바 있다.[13] 본 연구에서는 이와 같은 방식으로 시력의 변별력을 반영할 수 있도록 점수를 조정하였으며, 최종 환산된 VAR 점수표는 Table 2와 같다.
3. 예비검사로서 효용성 검증
OQAS가 예비검사 도구로서 임상적 효용성을 가질 수 있는지를 평가하기 위해, OQAS로 측정한 광학 품질 지표인 MTF와 Strehl ratio가 시력 및 굴절이상도에 미치는 영향을 분석하였다.
MTF 및 Strehl ratio와 시력과의 상관관계를 분석함으로써 환자의 시력을 예측할 수 있는 지표로 사용될 수 있는지, 굴절 상태를 정량적으로 추정하는 데 활용 가능한지를 평가하였다. 그리고 실제 안경 처방값과 자동굴절검사기에서 측정된 값과의 차이가 큰 군과 유사한 군으로 분류하여, 두 군 간의 MTF 및 Strehl ratio의 차이를 비교하였다. 이를 통해 두 지표가 굴절교정 시 처방에 근거가 될 수 있는 하나의 요소가 될 수 있는지 평가하였다.
4. 자료 분석
수집한 자료는 SPSS(ver 27 for window, SPSS Inc, Chicago, IL, USA) 프로그램을 사용하여 통계 분석하였다. MTF와 Strehl ratio이 시력과 굴절이상도에 미치는 영향을 분석하기 위해 Pearson 상관분석과 단순회귀분석을 실시하였다. 굴절이상 고일치군과 저일치군의 평균을 차이를 판별하기 위해 독립표본 T 검정을 실시하였다. 모든 분석은 통계적 유의확률이 0.05 이하일 때 유의한 것으로 판단하였다.
결과 및 고찰
1. MTF 및 Strehl ratio와 시력과의 상관성
시력과 MTF 및 Strehl ratio의 상관관계는 Table 3과 같다. 교정되지 않은 상태에서의 VAR은 평균 38.93±26.84였으며, MTF(9.51±7.20) 및 Strehl ratio(0.05±0.05)와 각각 유의한 양의 상관관계를 보였다(p<0.001). 두 지표 모두 Pearson 상관계수 값이 각각 0.682, 0.698로 나타나, 광학 품질 지표가 나안시력과 강한 관련성이 있음을 확인할 수 있었다. 반면, 교정된 상태에서의 VAR은 평균 97.60±2.36으로 높았고, MTF(72.68±16.29)와 Strehl ratio(0.55±0.19)와 각각 0.138, 0.224의 상관계수를 보여 통계적으로는 유의하나 상관 정도는 약한 수준으로 나타났다.
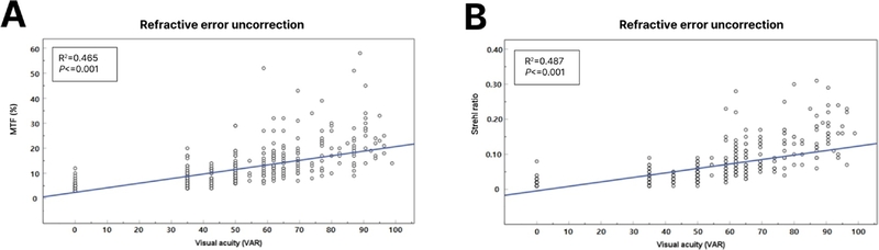
나안시력에 따른 MTF와 Strehl ratio의 경향을 단순회귀분석한 결과는 Fig. 4와 같다. 나안시력과 MTF 간의 단순 선형회귀분석 결과, 결정계수는 R2=0.465로 나타났으며, 통계적으로 유의한 양의 상관관계를 보였다(p<0.001). Strehl ratio 또한 시력과 유의한 양의 상관관계를 나타냈으며, 결정계수는 R2=0.487로 MTF보다 높은 설명력을 보였다(p<0.001).
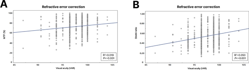
교정시력과 MTF와 Strehl ratio의 경향을 단순회귀분석한 결과는 Fig. 5와 같다. 교정된 시력과 MTF 간의 선형회귀분석에서 결정계수는 R2=0.019로 나타나, 통계적으로는 유의하였으나(p<0.001), 시력에 대한 설명력은 낮은 수준이었다. Strehl ratio의 경우에도 R2=0.050으로 유의한 양의 상관관계를 보였으나(p<0.001), 설명력은 제한적이었다.
Simple regression results of VAR and MTF (A) and VAR and Strehl ratio (B) in refractive error correction.
MTF와 Strehl ratio는 시력의 정량적 평가에 활용 가능한 광학품질 지표임을 시사하며, 특히 나안상태에서 광학품질은 시력과 밀접하게 연관되어 있음을 보여준다. 하지만 교정시력과의 관계는 제한적이었다.
본 연구의 한계점은 최대교정시력이 0.7 이상인 대상자만을 선정하였으며, 최대교정시력이 1.0으로 수렴한 점을 볼 수 있다. 이러한 시력 분포의 편향은 척도 희석화 효과(scale attenuation effects)로 이어져, 시력의 미세한 차이가 통계적으로 충분히 반영되지 못했을 가능성이 있다. 이러한 결과는 최대교정시력이 높은 경우, 시력 변화량이 제한적일 수 있다는 선행연구들과 유사하다.[14,15] 따라서 광학품질 지표는 교정시력보다는 나안시력과 굴절이상도를 예측하는 데 효과적이다.
2. MTF 및 Strehl ratio와 굴절이상도의 상관성
굴절이상도와 MTF 및 Strehl ratio의 상관관계는 Table 4와 같다. 굴절이상도는 평균 –4.15±2.58 D였으며, MTF 9.51±7.20, Strehl ratio 0.05±0.05와 모두 유의한 양의 상관관계를 나타냈다. Pearson 상관계수는 MTF에서 0.637, Strehl ratio에서 0.616으로 나타났으며, 두 결과 모두 통계적으로 유의하였다(p<0.001). 따라서 굴절이상도가 증가할수록 광학품질 지표가 저하됨을 의미하며, MTF 및 Strehl ratio가 굴절이상도의 정도를 예측하거나 반영할 수 있는 유효한 광학품질 지표로 활용될 수 있음을 시사한다.
굴절이상도와 MTF 및 Strehl ratio의 회귀분석 결과는 Fig. 6과 같다. MTF와 굴절이상도의 관계에서 단순선형회귀는 R2=0.405, 역함수회귀는 R2=0.625로 역함수 형태의 회귀식이 더 높은 설명력을 보였다(p<0.001). Strehl ratio와 굴절이상도 간의 회귀분석에서도 유사한 경향을 보여, 선형회귀는 R2=0.380, 역함수회귀는 R2=0.770으로 나타났다. 두 모델은 모두 통계적으로 유의하였다(p<0.001). 두 지표 모두에서 굴절이상도가 커질수록 비선형적인 증가 경향이 관찰되었으며, 역함수 모델이 굴절이상도와 광학품질 지표 간의 관계를 더 적절히 설명하는 형태로 나타났다. 이러한 결과는 근시와 LogMAR 시력이 비선형 관계라는 선행 연구와 유사하며,[16] 굴절이상도와 MTF 및 Strehl ratio 간의 관계 또한 유사한 비선형적 경향을 보였음을 보여준다.
3. 굴절이상도 고일치군과 저일치군의 비교
굴절이상 고일치군과 저일치군의 임상적 특성은 Table 5와 같다. 두 그룹의 임상적 특성의 평균을 독립표본 t-검정으로 비교한 결과, 자동굴절검사기로 측정된 굴절이상도는 고일치군이 –3.46±2.05 D, 저일치군이 –5.75±2.97 D로 나타나 유의한 차이가 있었다(p<0.001). 자각적굴절검사로 측정한 굴절이상도는 고일치군이 –3.23±2.05 D, 저일치군이 –4.81±2.81 D로 나타나 역시 유의한 차이를 보였다(p<0.001). VAR로 환산한 나안시력을 비교한 결과, 고일치군은 42.68±25.29, 저일치군은 30.20±28.33으로 고일치군의 시력이 유의하게 더 높았다(p<0.001). 반면, 교정시력은 고일치군 97.65±2.30, 저일치군 97.50±2.49로 두 그룹 간 유의한 차이가 없었다(p=0.448). MTF의 경우, 고일치군이 10.57±7.66, 저일치군이 7.05±5.21로 교정되지 않은 상태에서의 MTF는 고일치군에서 유의하게 높은 것으로 나타났다(p<0.001). 굴절이상 교정 후에도 MTF는 고일치군이 74.38±16.01, 저일치군이 68.71±16.26으로, 역시 고일치군이 유의하게 높은 값을 보였다(p<0.001). 마찬가지로, 나안상태에서 Strehl ratio는 고일치군이 0.05±0.05, 저일치군이 0.03±0.04로 고일치군에서 더 높은 값을 보였으며(p<0.001), 굴절이상 교정 후에도 Strehl ratio는 고일치군이 0.57±0.19, 저일치군이 0.50±0.19로 고일치군이 유의하게 높은 것으로 나타났다(p<0.001).
굴절이상도 고일치군과 저일치군의 임상적 특성을 비교한 결과, 두 그룹은 나안시력, 굴절이상도, MTF, Strehl ratio에서 모두 유의한 차이를 보였으나, 교정 후 시력은 고일치군(97.65±2.30)과 저일치군(97.50±2.49) 간에 유의한 차이가 없었다. 이러한 결과들로 볼 때 고일치군과 저일치군의 광학적 성능에는 큰 차이가 없다는 것을 알 수 있다.
저일치군의 경우 자동굴절검사기에서 측정된 값이 자각적굴절검사값보다 더 강한 근시로 나타났다. 이는 수정체의 조절로 인하여 굴절이상도가 과도하게 측정된 것으로 추측된다.[17] 수정체의 조절은 MTF 및 Strehl ratio와 같은 광학품질 지표에 영향을 미칠 수 있으며, 이는 자동굴절검사기의 결과에 영향을 줄 수 있다.[18]
따라서, 교정시력에 이상이 없으나 예비검사에서 MTF나 Strehl ratio가 낮게 측정되는 경우, 자동굴절검사기에서 측정된 굴절이상도는 실제보다 더 높은 근시값로 측정되었을 가능성이 있으므로 자각적굴절검사 시 고려할 사항으로 보여진다.
결 론
OQAS의 광학품질 지표인 MTF와 Strehl ratio는 굴절이상도와 나안시력을 예측하는 데 유의미한 지표로 활용할 수 있음을 확인하였다. 그러나 교정시력은 두 지표와의 상관성이 낮아 굴절이상이 교정된 상태의 시력을 예측하는 데는 제한적인 것으로 나타났다. MTF와 Strehl ratio가 낮게 측정된 경우는 자동굴절검사기에서 실제보다 더 강한 굴절이상도로 측정될 가능성이 있었다. 이는 수정체의 조절이나 기타 광학적 요인에 의해 굴절이상이 상대적으로 높은 근시값으로 측정될 수 있음을 시사하며, 단순히 자동굴절검사 결과만으로 처방을 결정하는 데는 한계가 있음을 의미한다. 따라서, 예비검사에서 MTF나 Strehl ratio가 낮게 측정된 경우에는 자각적굴절검사 후 굴절교정에 주의가 필요하며, OQAS는 예비검사에서 중요한 보조 지표로 활용될 수 있다.
References
-
Güell JL, Pujol J, Arjona M, et al. Optical quality analysis system; instrument for objective clinical evaluation of ocular optical quality. J Cataract Refract Surg. 2004;30(7): 1598-1599.
[https://doi.org/10.1016/j.jcrs.2004.04.031]
-
Yin Y, Lu Y, Xiang A, et al. Comparison of the optical quality after SMILE and FS-LASIK for high myopia by OQAS and iTrace analyzer: a one-year retrospective study. BMC Ophthalmol. 2021;21:292.
[https://doi.org/10.1186/s12886-021-02048-5]
-
Zhang W, Peng T, Cheng X, et al. Comparison of postoperative visual performance between trifocal intraocular lens and monofocal intraocular lens. Saudi Med J. 2023;44(5):456-462.
[https://doi.org/10.15537/smj.2023.44.5.20220833]
-
Lee K, Sohn J, Choi JG, et al. Optical quality in central serous chorioretinopathy. Invest Ophthalmol Vis Sci. 2014;55(12):8598-8603.
[https://doi.org/10.1167/iovs.14-14679]
-
Guirao A, González C, Redondo M, et al. Average optical performance of the human eye as a function of age in a normal population. Invest Ophthalmol Vis Sci. 1999;40(1):203-213.
[https://doi.org/10.1364/VSIA.1999.SaB1]
-
Navarro R, Losada MA. Phase transfer and point-spread function of the human eye determined by a new asymmetric double-pass method. J Opt Soc Am A. 1995;12(11):2385-2392.
[https://doi.org/10.1364/josaa.12.002385]
-
Alió JL, Piñero DP, Ortiz D, et al. Clinical outcomes and postoperative intraocular optical quality with a microincision aberration-free aspheric intraocular lens. J Cataract Refract Surg. 2009;35(9):1548-1554.
[https://doi.org/10.1016/j.jcrs.2009.03.055]
-
Bobroff N, Rosenbluth AE. Evaluation of highly corrected optics by measurement of the Strehl ratio. Appl Opt. 1992;31(10):1523-1536.
[https://doi.org/10.1364/AO.31.001523]
-
Mahajan VN. Strehl ratio for primary aberrations: some analytical results for circular and annular pupils. J Opt Soc Am. 1982;72(9):1258-1266.
[https://doi.org/10.1364/JOSA.72.001258]
-
van den Bos A. Aberration and the Strehl ratio. J Opt Soc Am A. 2000;17(2):356-358.
[https://doi.org/10.1364/josaa.17.000356]
-
Holladay JT. Visual acuity measurements. J Cataract Refract Surg. 2004;30(2):287-290.
[https://doi.org/10.1016/j.jcrs.2004.01.014]
- Elliott DB, Flanagan J. Clinical procedures in primary eye care, 3rd Ed. New York: Butterworth-Heinemann, 2007;32-34.
-
Vanden Bosch ME, Wall M. Visual acuity scored by the letter-by-letter or probit methods has lower retest variability than the line assignment method. Eye (Lond). 1997;11:411-417.
[https://doi.org/10.1038/eye.1997.87]
-
Oshima Y, Ishibashi Y, Umeda N, et al. Correlation between improvement in visual acuity and QOL after Ranibizumab treatment for age-related macular degeneration patients: QUATRO study. BMC Ophthalmol. 2021;21:58.
[https://doi.org/10.1186/s12886-021-01816-7]
-
Lee JH, Yu HG, Yoon CK. A pilot study: retinal sensitivity change in neovascular age-related macular degeneration patients with better baseline visual acuity. Sci Rep. 2024;14:27035.
[https://doi.org/10.1038/s41598-024-77485-5]
- Cox TA, Naidoo KS, Ellwein LB; RESC Working Group. The relationship between visual acuity and myopia in children. Invest Ophthalmol Vis Sci. 2005;46(13):5615.
-
Lee KC, Kim SY, Cho HG, et al. Correlation between the two tests and changes in measured values according to accommodative stimulation and fogging in the subjective and auto-refraction. J Korean Ophthalmic Opt Soc. 2017;22(2):175-182.
[https://doi.org/10.14479/jkoos.2017.22.2.175]
-
López-Gil N, Martin J, Liu T, et al. Retinal image quality during accommodation. Ophthalmic Physiol Opt. 2013;33(4):497-507.
[https://doi.org/10.1111/opo.12075]





